The sampling design is the protocol for selecting the subset of evaluation units for which the reference classification is obtained. Choosing a sampling design also requires defining a sampling frame and sampling unit to serve as the basis for accuracy assessment.
Another important quality in the sampling design is that it meets the criteria of reproducibility. For this, the key characteristics that must be documented are the following:
The Sampling Unit can be defined as the unit of comparison between the reference data and the map data. It is also referred to as the fundamental unit upon which the accuracy assessment is based, as it connects the spatial location on the map to the corresponding location on the ground. (Stehman & Czaplewski, 1998).
Sampling protocol is one of the most complex and important steps in assessing the accuracy of maps. The sampling protocol is responsible for selecting the sampling units and, together with the analysis of its components, the statistical inference is obtained.

Selecting the sampling design is crucial and could be based on the population/data type, what you are evaluating, or your needs. At the moment we have implemented three main sampling designs: simple random, stratified random, and systematic sampling and all are probability sampling designs. For example, use simple random for a population without strata. Stratified random is commonly employed for sampling within each stratum of the classes of the stratified map. And the systematic protocol to have some strata sampled systematically. But also we implemented post-stratification methods for simple random and systematic sampling to ensure that samples randomly generated are only on specific strata.
It is appropriate if the sample size is large enough to ensure that all classes are adequately represented. It could be useful to serve the needs of a wide group of users.
Advantages: It is extremely simple to use and adapts to the need to increase or decrease the sampling units. Less complex statistical estimators compared to other sampling designs.
Disadvantages: Underestimates the less representative classes. Not well distributed spatially
It is useful for reporting results when strata are of interest and the precision of accuracy and area estimates need to be improved. As a result, it is one of the most commonly used. It is used in conjunction with prior knowledge to stratify the study area. This design is recommended by Olofsson et al. (2014) as a good practice option for ensuring that rare classes are well represented.
Advantages: It allows to increase the sample size of the less common classes. It lowers the standard errors of the accuracy estimates for rare classes or if the proportions are very different between strata. Geographic stratification could be used to ensure a good spatial distribution of the sample. It allows the option of using different sampling designs in different strata.
Disadvantages: Stratification by geographic region does not result in a gain in precision. Only the evaluation of the accuracy of the map that gives rise to the strata is allowed. Sampling with an optimal allocation leads to different probabilities of inclusion, this makes it difficult to calculate the estimators
Systematic random sampling involves selecting samples at regular intervals across a grid, either by distance or pixel units. Sampling begins from a fixed or random point, starting in the top-left corner, and applies a random offset to the initial grid position. We implemented two systematic sampling methodologies: one based on physical distances and the other on pixel units, both units are based on the thematic map. Each approach influences the entire configuration of the systematic sampling process.
Systematic sampling by distance
Systematic sampling by pixel
TIP!
To ensure the offset area covers the entire thematic map (giving every pixel an equal probability of being selected), set the maximum offset value to half of the point spacing. Keep in mind that if systematic sampling is based on pixels, the pixel units must be integers.
(This happens when the max XY offset value is zero)
Distribute the sampling units equally for the entire study area. As long as the first sampling unit is randomly selected, we can say that systematic sampling is random. Simplicity is highly attractive to end users. The variance depends on how the error is spatially distributed.
Advantages: It distributes the sampling units equitably throughout the study area. As long as the first sampling unit is randomly selected, we can say that systematic sampling is random. Simplicity is highly attractive to end users. The variance depends on how the error is spatially distributed.
Disadvantages: If the errors are located in certain areas of the population, systematic sampling will have a lower variance. The non-existence of an impartial estimator for calculating the variance. This aspect leads to an overestimation of the variance. In the presence of uniformly distributed errors, the application is not desirable.
(This happens when the max XY offset value is NOT zero)
The area is divided into smaller, regularly spaced regions, with a randomly chosen sample unit within each of these regions. The sample units are evenly dispersed but not positioned. In order to minimize the effects of the periodicity of errors.
Advantages: If the linearity of the error is present, it is less susceptible to error. The calculation of the variance is acceptable and unbiased.
Disadvantages: Reduces the advantage of the spatial distribution of error and favors systematic sampling over simple random sampling. The lack of an unbiased estimator.
For a statistically correct assessment of accuracy it is necessary to collect an adequate number of sampling units for each class. In fact, the size of the sample will influence the precision with which the accuracy is estimated. Congalton & Green (2009) point out that at least 50 sampling units should be collected for each land cover class. According to Stehman (2001), a sample with 100 sampling units per class ensures that the accuracy can be estimated with a standard deviation of no more than 0.05. Despite this aspect, the minimum value of the sampling units per land cover class could vary depending on the importance (Congalton & Green, 2019) (Stehman & Foody, 2019)
Simple and systematic random sampling are easy and practical designs, they represent homogeneous and proportional populations very well, and the sample size for each coverage or map class must be large enough to produce sufficiently precise estimates of area. However, when there are small or rare areas compared to the total area such as deforestation, stratified sampling is recommended. (Methods and Guidance from the Global Forest Observations Initiative, GFOI, 2020)

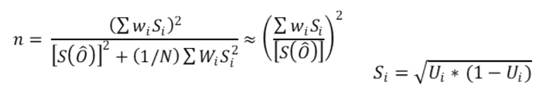
The standard error of the estimated overall accuracy that you would like to achieve. For stratified sampling, Cochran (1977) provides the following sample size formula (Cochran, 1977 and Olofsson, et al., 2014)

Where N=number of units in the study region, S(Ô) is the standard error of the expected global accuracy, Wi is the mapped proportion of the area of class i, and Si is the standard deviation of stratum i and Ui is the accuracy expected by class i. Since N is usually very large, the second term in the denominator of the above equation can be discarded.

The user’s accuracy (Ui) is the probability that a pixel classified as class i is actually class i. The user’s accuracy is a measure of the reliability of the classification, in other words, the user’s accuracy is the confidence for map classes. In general, the user’s accuracy values are:
For example, based on a study from Olofsson et al. (2014) assessing the accuracy of forest change, the user’s accuracy values for the following classes could be:

Using stratified or post-stratified sampling for map data analysis, land use/land cover classification and similar topics, a minimum sample size of 30 (Van Genderen et al., 1978) or 50 (Stehman & Foody, 2019; Hay, 1979) per evaluated stratum is generally recommended to ensure statistical significance. However, determining the optimal minimum sample size requires consideration of several factors such as data type, the specific research objectives, and the desired level of precision.
Next » Response design